停電 情報 千葉 復旧。 千葉県停電情報!現在状況と原因と復旧・時間はいつになるのか?|ゆき*ログ

千葉県|住所から検索|東京電力パワーグリッド株式会社

停電 情報 千葉 復旧

千葉県大停電情報! 復旧の見通しは東電のホームページやツイッターで順次公表するとしている。 報告書は、「数十年に一度」と言われる規模の災害が近年立て続けに起こっており、もはや災害は日常的に発生するものとして備えることが当然のものとなりつつあると述べています。 被害の大きさが分かります。 現状がわからない、情報がないといった状態は、不安を増大させますよね。 また、市原市のある住宅では、向かいの家はかなり前から電気が戻っているものの、自宅はいまだ停電中という状況にあり、なぜ自宅にだけ電気が戻らないのか、疑問の声も挙がっていた。 この倒壊した鉄塔2基は、送電線をつなぐもので、台風15号による強風で倒壊した ものとみられています。

次の

千葉の停電、全面復旧は13日以降に 東京電力:朝日新聞デジタル

停電 情報 千葉 復旧

東京電力ホールディングスは9月13日、台風15号の影響による千葉県などの停電について、「最大2週間程度でおおむね全面復旧する」という見方を示した。 2019年9月に上陸した台風15号、および10月に上陸した台風19号は、各地にさまざまな被害をもたらしました。 29 ;box-shadow:0 2px 7px rgba 0,0,0,. 今後に向けては「各自治体でも自治会などと助け合い情報共有をしていきたい」としている。 075 ;-webkit-transition:border-color ease-in-out. 給水車で各地区を順番に回って給水してくれるようですので、対象の住まいの方は、給水車が来るのをチェックしてくださいね。 千葉県の停電復旧情報 千葉県の停電復旧に関するツイートをまとめてみましたので、ご参考にしていただけたら幸いです。 この暴風が送電網に影響をもたらしたと見られます。 (3)地域全体が2週間以内でおおむね復旧の見込まれる地域 広範囲にわたって甚大な設備被害が生じており、点検・確認から工事着手・完了、復旧までに相当の作業と時間が見込まれる地域。

次の

千葉県大停電情報!現状と原因と復旧はいつになるのか?

停電 情報 千葉 復旧

2rem;font-weight:normal;padding:. — 龍宮城ホテル三日月(公式) ryuugujyouhotel September 11, 2019 ホテル三日月では大浴場の無料開放しているそうです。 私も少しでも正しい情報を届けられるように情報収集、配信を続けて参ります。 停電が復旧したとされる地域でも家庭への引き込み線や電気設備の不具合で電気がつかないケースがあるため、東電が個別に対応している。 (兼田徳幸) 電話・ネット「不通状態」 NTT東日本によると、千葉県内は11日午前7時現在で、固定電話約10万回線、インターネット約7万回線が「不通状態」だという。 飛んでしまった、落ちてしまったトタン屋根や屋根瓦の片付けや、どこからともなく飛んできた物、あるいはどこかへ飛んでいってしまった物の捜索もボランティアに委ねられるかもしれません。

次の

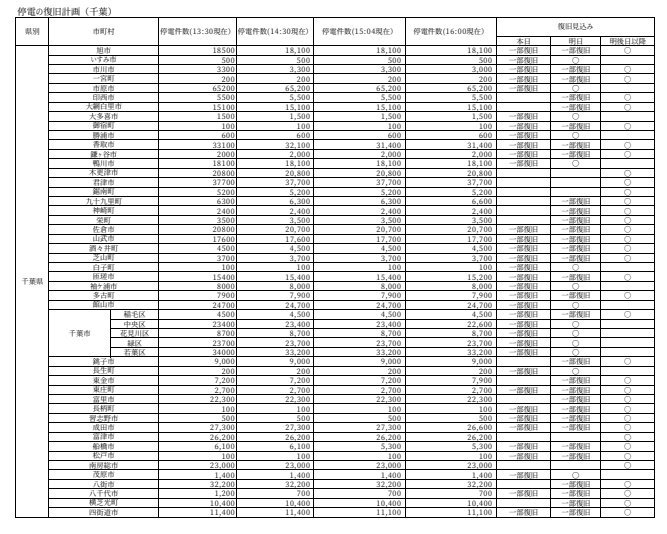
千葉県市町村ごとの地域全体の停電復旧までに要する期間および今後の対応について(9/13 18時00分時点)|プレスリリース|東京電力ホールディングス株式会社

停電 情報 千葉 復旧

この鉄塔の高さは、それぞれ45メートルと57メートルで比較的大型のものとなります。 砂糖、塩、レモン、水を混ぜるだけです。 復旧作業をになう自衛隊や建設業者、道路管理者である地方自治体、道路周辺の山林の所有者など、多くの関係者が存在します。 「隠れ停電」とも呼ばれ、東電にも利用者からの問い合わせが相次いでいるという。 問い合わせはフリーダイヤル(0120・995・007)へ。

次の

千葉県の停電(台風19号)の全面復旧はいつ?ツイッターなど復旧情報をまとめてみた!

停電 情報 千葉 復旧

13日午後6時点で、停電軒数は約18. これから上陸する台風19号!千葉県の被害もすごいですが、東京や茨城や栃木の方でも一部で停電がしているそうです! これから停電する範囲が広まって、冠水、断水の事も考えなければなりません。 17日は千葉県では曇り時々晴れとなる一方、伊豆諸島南部では引き続き、雨になると予想されている。 福原直英アナウンサー: とにかく猛烈な風が吹いて雨も降りました。 各地で被害が出ています。 現状発表されてる停電件数は下記のとおりです。 他の停電地域につきましても、停電解消に向けて作業を継続しておりますので、見通しが判明次第お知らせいたします。 主な設備被害は、千葉県君津市長井市付近に設置されている 鉄塔が2基倒壊しました。

次の

「台風」と「電力」〜長期停電から考える電力のレジリエンス|スペシャルコンテンツ|資源エネルギー庁

停電 情報 千葉 復旧

そこで、今回は千葉県の停電状況はいつまで続くのか?復旧のめどは立っているのか?被害状況はどうなっているのか? 等の情報をお届けしていこうと思います。 速報が出次第、追記します。 【 装備を整える】 活動しやすい服装を心がけ、長袖長ズボン・ヘルメット・ゴーグル・マスク・軍手やゴム手袋・安全靴などを用意する。 Contents• 現地からのSNSでの呼びかけ、政府の協力、東京電力および他エリア電力会社の必至の復旧作業によりピーク時から70万軒の停電が回復しました。 しかし、東京電力の公式サイトを見てみると、停電地域に山田地区の記載はない(13日午前11時49分現在)。

次の

千葉の停電、全面復旧は13日以降に 東京電力:朝日新聞デジタル

停電 情報 千葉 復旧

被害に合われた方々に心からお見舞い申し上げますとともに、最後までお読みくださり、ありがとうございます。 鴨川ホテル三日月が、午後3時から午後9時まで。 被災者の皆様におきましては、熱中症に注意していただき 一刻も早い復旧を望みます。 075 ,0 0 8px rgba 102,175,233,. 各地区が一刻も早く復旧できるよう最大限努力してまいります。 千葉南部中心に、被害地支援の資金に向けて緊急寄付受付フォームがありましたのでご紹介したいと思います。 千葉県停電情報!現在状況と原因について調査! うぅぅ…千葉結構栄えてるとこでも停電酷い…こりゃ私のとこも時間の問題かもしれない… — Ella🌵 candle1258 現在、 千葉県で約48万戸が停電している状況です。 ご連絡先:0120-995-007または03-6375-9803. 主なものをご紹介しましょう。

次の