検察庁 法 改正 案 なぜ。 検察庁法改正案、なぜ三権分立が揺らぐ?日弁連副会長「検察官は司法に密接に関わっている」

検察庁法改正案のツイート数はなぜ減る?情報操作で削除されているのは本当?

検察庁 法 改正 案 なぜ

000. — 宮本亞門 公式 amonmiyamoto 自分達の未来を守る為に。 改正案は、検察官の定年を現在の63歳から65歳に段階的に引き上げ、63歳に達した次長検事と検事長らは役職を降りる「役職定年制」を導入。 ここから、巷間騒がれている様々な誤解を解きつつ、それでもなお残る疑問から、問題の本質を明らかにしていきたいと思います。 ネット上で同じハッシュタグでの投稿が「1000000超えました。 この「ネット署名」なら、ステイホームしながらでも、検察庁法改正案に抗議・反対する署名が可能です。 2.なぜ「この時期に」検察庁改正案の審議をするべきなのか 内閣委員会では、特措法を含め新型コロナウィルスに関する質疑を優先すべきではないかと考えます。

次の

「理由がさっぱり」検察庁法改正、首かしげる現職検事も [検察庁法改正案]:朝日新聞デジタル

検察庁 法 改正 案 なぜ

野党は諦めちゃいけない、メディアやジャーナリストはどんどん報じて欲しい。 だが、現在の改正案は、内閣や法相が必要と判断すれば、幹部は役職定年を超えて勤務し続けることができるという条項が盛り込まれている。 第十五条には、検事総長、次長検事及び各検事長の任免は内閣が行って、天皇がこれを認証するという手続きが規定されています。 より正確には国家公務員法81条の3に基づく措置であり、この法案次第で勤務延長がなくなるというわけではありません。 検察庁の組織構造 検事の序列• なぜ改正法案で検察官の定年の特例延長を導入しようとしたのか? 筆者は、検察の現役、OBを通じて、「国家公務員法上の定年延長規程を援用して、閣議決定により、検察庁法上に全く根拠規定のない検察官の定年延長を実施することが合法である」と主張する人を聞いたことがない。 今年の通常国会の最大の与野党対決法案となった検察庁法改正案は、数百万回を超えるツイートというネット上の反対運動、改正法案に反対する松尾邦弘元検事総長ら10数名の有力検察庁OB及び熊崎勝彦元東京地検特捜部長ら30数名の特捜検事OBによる意見書の提出、さらには渦中の黒川東京高検検事長の賭けマージャンによる辞職、と異例づくしの経過を経て、6月中旬の国会閉会に伴い廃案となった。 これに比して、ほとんどが司法試験合格者ではない副検事(定員約900名)は、定年後は一般公務員と同じく再就職はそう容易ではないので、国家公務員並みの定年の延長が望まれる次第である。

次の

「新しい検察庁法改正案」はかくあるべし

検察庁 法 改正 案 なぜ

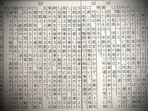
ただし、検察庁法第二十二条第五項又は第六項の規定により次長検事又は検事長の官及び職を占めたまま勤務をさせる期限の設定又は延長をした職員であつて、定年に達した日において当該次長検事又は検事長の官及び職を占める職員については、引き続き勤務させることについて内閣の定める場合に限るものとする。 しかし、黒川検事長の定年延長が批判を浴びている中で、コロナ感染拡大で不要不急は控えるように言われているにもかかわらず、なぜ、検察庁法改正案が今、なんだと正直、思います。 お二人が言及していらっしゃるのは、「」のうち、附則(検討)第16条第1項の以下の条文かと存じます。 ここまで抗議が盛り上がっている背景には今年1月、東京高検の黒川弘務検事長が定年退職する直前に突如、閣議決定で半年間の延長となったことがある。 提供 検察庁法改正案を所管するのは立場でありながら、答弁に立たず、「森隠し」と野党から言われている森法相(C 朝日新聞社 検察庁幹部の定年を政権が延長できるようにする検察庁法改正案に対する、<#検察庁法改正案に抗議します>というTwitterに大きな賛同が集まる中、衆議院内閣委員会で13日、集中質疑が行われた。 あわせて読みたい関連本• 現在の制度では、公正取引委員長、日銀総裁などの特定のポストの候補者については、形式的な書類審査だけではなく、両院それぞれの議院運営委員会において、候補者本人の陳述や質疑応答が行われることになっているので、その際に、中立性など本人の基本的な姿勢について十分な審査を行い、その過程で本人の発言の言質を取ることが可能なので、結局は数の力により同意が得られるとしても、それが恣意的な人事運用につながる懸念は少なく抑えられると思われる。

次の

#検察庁法改正案に抗議しますが芸能人バカ発見器の理由?工作員合戦でヤバい?

検察庁 法 改正 案 なぜ

その上で、「検察庁法改正は安倍政権が黒川検事長の定年を違法に、脱法的に延長したことを事後的に正当化しようとするもの」だと指摘。 安倍首相にとって誤算だったのは、「検察人事への政治介入」と取られかねない人事が今年2月に行われたということだった。 後にいい間違えたと修正) 4 解釈変更をするに際して、なぜ法務省行政文書取扱規則上の文書ではないと判断して、口頭決裁に留めたのか といった疑問点が噴出してしまい、ちょうど 1 に関連して、黒川検事長は政権に近い立場であったこと、次期検事総長として黒川氏を任命するためには半年間の勤務延長をせざるを得なかったことから、このような解釈変更を行ったのではないかという批判がなされました。 そのため、すでに黒川高検事長の延長が決まっているのに、関係ない「検察庁法改正案」で黒川高検事長の延長を抗議しているのでバカ発見器と言われているようです… 検察庁法改正は一般公務員の定年と合わせるため そもそも 「検察庁法改正」は一般公務員の定年を65歳にしたため矛盾が発生したので、検察官の定年も65歳にして統一するためのもので、黒川高検事長の延長とは無関係だったのです。 なお、勤務延長制度が認められるのがどういう場合かというのは、人事院規則で定められています(詳しい要件などについての概要資料は)。 新旧対照表は内閣官房の法案から見られます。

次の

【衝撃】なぜか多くの芸能人が検察庁法改正案に反対してしまう

検察庁 法 改正 案 なぜ

昨年秋の臨時国会で提出されるはずだったバージョン(「2019秋版」といいます)と、今国会で提出されているバージョン(「2020春版」といいます)が異なるためです。 でも、なんとなく分かったこと。 — 水野良樹 mizunoyoshiki このコロナ禍の混乱の中、集中すべきは人の命。 安倍内閣が政権に近いとされる黒川弘務・東京高検検事長の定年延長を閣議決定した問題。 その信頼を揺るがしているということ自体はファクトであり、重く受け止めていただいた上で、今国会でどのような対応をしていくのかを注視したいと思います。 本当にいま急いで検察庁法案の審議しなくっていいですよね。 私たちが良くても、私たちの子や孫や曾孫や玄孫のためには。

次の

検察庁法改正案の内容は?なぜ今?検察庁法改正案抗議しますとは?

検察庁 法 改正 案 なぜ

これが取りうる第一のオプションであった。 改正後第二十二条 検察官は年齢が65年に達した時に退官する。 にゃあ。 この時点では「 検察庁法改正案に抗議します」は付されていない。 もしそれが、前国会に提出された検察庁法改正案の様に、「公務の運営に著しい支障が生ずると、内閣が認めるとき」とされると、内閣が恣意的な人事に利用する恐れが強いと批判される。 — 宮本亞門 公式 amonmiyamoto 村本大輔 三権分立こそ三密になっちゃだめ。

次の

検察庁法改正案への抗議の声に水を差す人が知っておくべき、今改正案の問題点

検察庁 法 改正 案 なぜ

事実上、検察が傘下になってしまう様なシステムですから、どさくさに紛れて通す法案としては非常に不味いですね。 黒川氏はその事実をもちろん官邸には伝えています」 しかし、 「今井さんが安倍さんに、検察庁法改正案の延期を進言したのはその報告の前のこと。 これについては、多くの賛同意見とともに、いくつかの疑問点の表明も寄せられた。 何より検察内部の人間は一体どうしたんだ!この国無茶苦茶になるぞ!」 こうして豊原は検察庁法改正案への抗議の姿勢を表明したわけだが、ハッシュタグを付けてはいない。 法務省、公安調査庁、そして検察庁などが入居する。

次の

「検察庁法改正案」を安倍首相が諦めたホントの理由

検察庁 法 改正 案 なぜ

黒川氏の誕生日は2月8日。 そのような方の為に 検察庁法改正案の問題点についてまとめていきます。 — 以下略ちゃん? 三権分立が守られるべきは言うまでもなく、本来あるべきはずの世論の矢印が無くなってしまっています。 100万ツイートの中身がこれか笑笑 — sin sin007777 スクショつなげるのもダルかったので動画でどうぞ — はぐ haghag1203 アカを数分で変更または新アカで呟いてるみたいですね。 について書きます。 演出家の宮本亞門も<コロナ禍の混乱の中、集中すべきは人の命。 これ自体は非常に合理的です。

次の